5月30日,国务院常务会议确定,决定较大范围下调日用消费品进口关税,更好满足群众多样化消费需求。会议决定,从今年7月1日起,将服装鞋帽、厨房和体育健身用品等进口关税平均税率由15.9%降至7.1%。
随后5月31日,国务院关税税则委员会发布了《关于降低进口日用消费品进口关税的公告》。公告称,降低部分进口日用消费品的最惠国税率,涉及1449个税目。因最惠国税率调整,自2018年7月1日起,取消210项进口商品最惠国暂定税率,其余商品最惠国暂定税率继续实施。
降税将给市场格局带来哪些变化?
大幅度降低进口服装关税,
又将对我国服装行业带来多大挑战?
▼
降税清单如何解读?
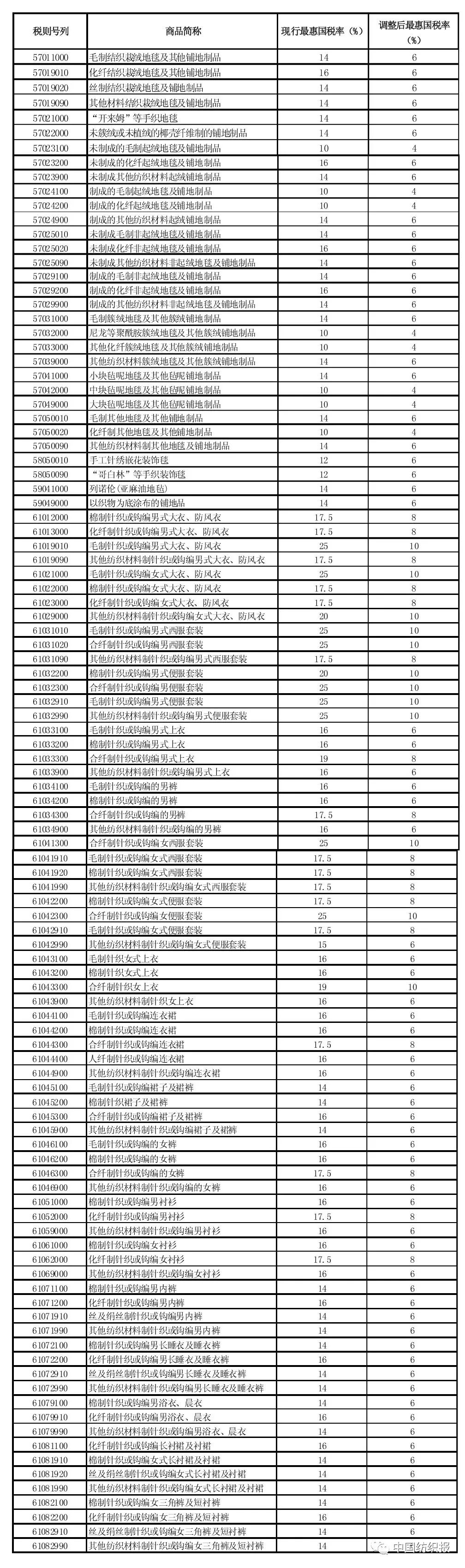
1449个降税的税目中,与纺织品服装相关的约有430个,占降税税目总数的约30%。中国纺织工业联合会副会长徐迎新接受《中国纺织报》记者采访时表示,清单中服装产品的范围和降税幅度整体都比较大。其中,服装大部分产品的关税从16%和14%降到6%,降税幅度超过一半,只有少数类别还保持在8%、10%和12%。降税后服装整体进口关税水平已接近欧盟,最惠国进口关税税率远远低于美国,体现了十九大确立的“推动形成全面开放新格局”总体目标,以及与全球分享市场、扩大开放的积极心态。
据了解,中纺联此前曾向财政部提交相关建议,从降税结果看,建议在部分产品上得以采纳。
徐迎新分析说,从我国的进口服装格局看,意大利和越南是我国进口服装的两大最主要来源国。据海关数据统计,我国2017年从意大利进口服装381万件,总金额约8.1亿美元,平均进口服装单价高达200美元,主要是高级成衣。而我国从越南进口的服装产品中,主要是市场上流行的快时尚品牌,其中针织类服装比较突出,也是我国对大众型基本需求产品的代表。
记者注意到,海关总署统计显示,去年我国从上述两国进口服装的金额分别保持着12.9%和22.2%的高增长势头。一方面,意大利高级成衣在消费者心目中有着较强的品牌效应和号召力,其时尚设计、品质和工艺得到中国消费市场的认可;另一方面,体现出我国居民对基本需求类的快时尚消费品也有着较强的需求。
哪些实惠值得期待
记者注意到,在此次清单中,毛制、合纤等材质的男式针织或钩编大衣、西服套装、便服套装等产品,以及合纤制针织或钩编女西服套装等产品,进口关税都从25%大幅下调至10%,对消费者来说无疑具有极大的吸引力。
对消费者而言,最关心的莫过于进口服装的市场价格能下降多少,降幅有多大。对此有分析人士指出,进口服装产品的销售价格,包括进口产品价格、进口税、商业流通环节等多部分成本构成,很难简单地用一个降幅或数字比例来概括。具体消费者会从中受益多大,还需要数据说话。但可以确定的是,降税后将带来更加完全的市场竞争,会吸引更多的国外品牌和设计产品进入中国市场,市场产品的丰富程度会增加,消费者选择的空间会更大。
行业面临多大挑战
徐迎新认为,此次降税后,以意大利为代表的与我国没有签署自贸协定的国家将从中受益最大。比如,以设计、品质、品牌优势著称的意大利服装,在中国将拥有更大的市场空间。
此外,随着近年来纺织加工业向东南亚转移,越南正在成为国际快时尚品牌的生产和采购基地。快时尚品牌的优势将进一步巩固越南成衣市场份额的增长。我国与东盟的自贸协定自2010年开始实施,自东盟进口实施零关税,越南也成为我国服装进口的主要来源国。去年我国自越南进口服装金额近10亿美元,占我国进口服装份额14.5%,未来有望继续高位增长。
那么,中国服装企业是否将面临更大挑战?徐迎新认为,站在产业角度看,企业应以积极心态来面对此事。目前,我国纺织服装供应链的高效运作水平,在国际上具有较强的市场竞争力。市场的进一步开放将从客观上促进行业的转型提升,推动品质、品种和品牌的提升。
有行业人士指出,如果降低进口税后我国进口服装大幅增加,将会刺激本土品牌参与竞争和学习的积极性。本土品牌在不出国门的前提下有了与世界品牌竞争的舞台,能够积累更多参与市场竞争的经验。因此,从这个角度上说,此次降税具有积极意义。
服装相关产品降税清单










